ΣΤΙΣ 9/3 Ο 1ος ΗΛΕΚΤΡΟΝΙΚΟΣ ΠΛΕΙΟΔΟΤΙΚΟΣ ΔΙΑΓΩΝΙΣΜΟΣ ΓΙΑ ΤΗΝ ΠΑΡΑΧΩΡΗΣΗ ΑΙΓΙΑΛΟΥ & ΠΑΡΑΛΙΑΣ
“ΠΤΕΡΥΓΙΑ” ΓΥΡΩ ΑΠΟ ΤΙΣ ΠΑΡΑΛΙΕΣ ΤHΣ ΚΩ
Σε μία "νέα εποχή" εισέρχονται από τη φετινή τουριστική περίοδο οι οργανωμένες παραλίες της Κω, καθώς τίθεται σε εφαρμογή το καινούργιο θεσμικό πλαίσιο για τις παραχωρήσεις αιγιαλού και παραλίας, το οποίο, όπως επισημαίνουν επαγγελματίες του κλάδου, ενδέχεται να φέρει "τα πάνω κάτω" στον μέχρι τώρα τρόπο λειτουργίας τους.
Ο νόμος μπορεί να ψηφίστηκε και να εφαρμόστηκε σε εθνικό επίπεδο το 2024, ωστόσο στην περίπτωση της Κω, η μετάβαση καθυστέρησε, καθώς οι υφιστάμενες παραχωρήσεις είχαν δοθεί από το 2022 με τριετή διάρκεια, έως και το 2025. Έτσι, η φετινή σεζόν σηματοδοτεί ουσιαστικά την πρώτη εφαρμογή του νέου πλαισίου στο νησί.
Η σημαντικότερη διαφοροποίηση σε σχέση με το προηγούμενο καθεστώς, αφορά κυρίως τη διαδικασία των διαγωνισμών για την παραχώρηση των παραλιών προς εκμετάλλευση. Πλέον, οι παραχωρήσεις δεν θα διενεργούνται από τους Δήμους, όπως συνέβαινε επί σειρά ετών, αλλά από τις Κτηματικές Υπηρεσίες του Δημοσίου, με πλειστηριασμό και μάλιστα μέσω ηλεκτρονικής πλατφόρμας, στοχεύοντας στην πλήρη διαφάνεια της διαδικασίας.
Πρόκειται για μία αλλαγή, που σύμφωνα με τους επαγγελματίες του χώρου, θα αυξήσει τη γραφειοκρατία, καθιστώντας τη συμμετοχή αρκετά πιο σύνθετη. Όπως επισημαίνουν, η νέα διαδικασία είναι σαφώς πιο απαιτητική και αρκετοί από αυτούς, θα χρειαστεί να ζητήσουν "βοήθεια" από τους νομικούς τους συμβούλους για να ολοκληρώσουν τη συμμετοχή τους στον διαγωνισμό, ενώ διαμαρτύρονται και για τα πολύ στενά χρονικά περιθώρια που έχουν, ώστε να καταθέσουν τις σχετικές αιτήσεις. Ο βασικός τους φόβος, ωστόσο, αφορά την πιθανότητα να "χάσουν" τις παραλίες τους από επενδυτές εκτός νησιού. Οι ίδιοι υποστηρίζουν ότι θα έπρεπε να προβλέπεται στο νόμο κάποιο “προνόμιο” εντοπιότητας, προκειμένου να διασφαλιστεί ο τοπικός χαρακτήρας της δραστηριότητας.
Όπως τονίζουν, η ηλεκτρονική δημοπρασία ευνοεί όσους διαθέτουν μεγαλύτερη οικονομική επιφάνεια. «Αν έρθουν μεγαλοεπιχειρηματίες από άλλες περιοχές και “χτυπήσουν” τις παραλίες με πολύ υψηλά μισθώματα, πώς θα μπορέσει να τους ανταγωνιστεί ένας "μικρός" Κώος επιχειρηματίας;» διερωτώνται. Το ενδεχόμενο αυτό, εκτιμούν, ότι θα οδηγήσει τις παραλίες σε "ξένα χέρια", με αλυσιδωτές συνέπειες για την τοπική κοινωνία και οικονομία.
Το θέμα ωστόσο, δεν αφορά μόνο τους επιχειρηματίες του κλάδου, αλλά και τους λουόμενους. Οι παραλιούχοι συνδέουν άμεσα το ύψος του μισθώματος του αιγιαλού με την τελική τιμή χρέωσης για τις ομπρέλες τους. Αν τα ποσά εκτοξευθούν στη δημοπρασία, είναι σχεδόν βέβαιο ότι η τιμή της ομπρέλας και της ξαπλώστρας θα αυξηθεί, ώστε να διασφαλιστεί η βιωσιμότητα της επιχείρησης. Σε ένα τέτοιο σενάριο, οι οργανωμένες παραλίες κινδυνεύουν –όπως χαρακτηριστικά λένε– να καταστούν "όνειρο απατηλό" για πολλούς Κώους, αλλά και για μερίδα επισκεπτών που αναζητούν πιο προσιτές επιλογές διακοπών.
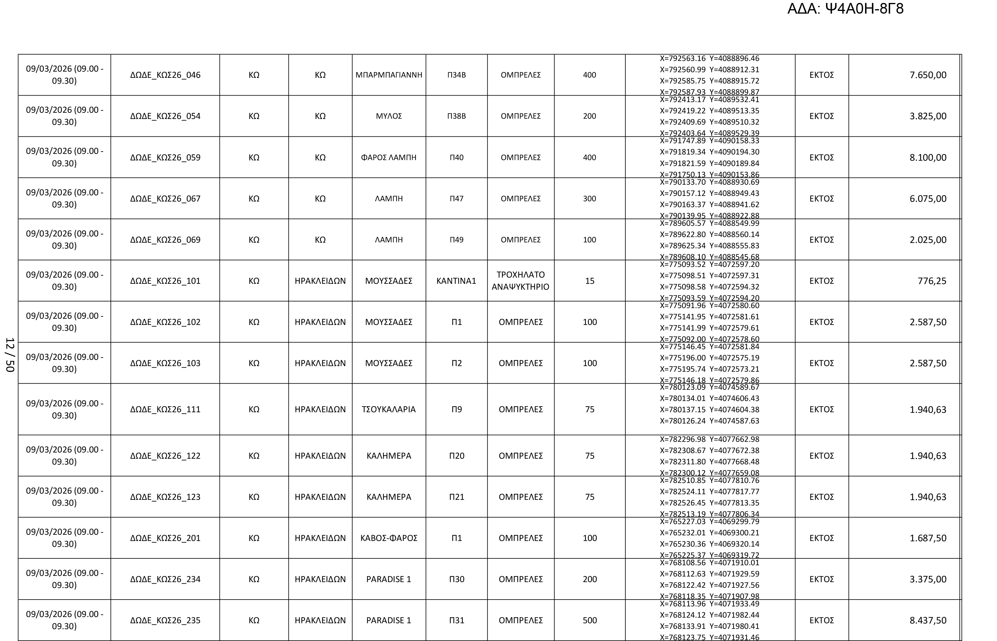
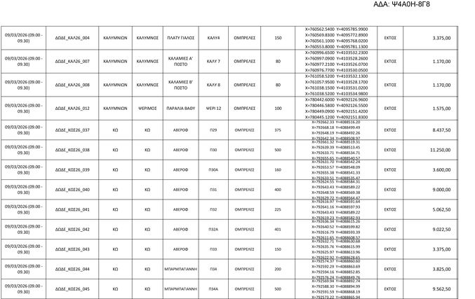
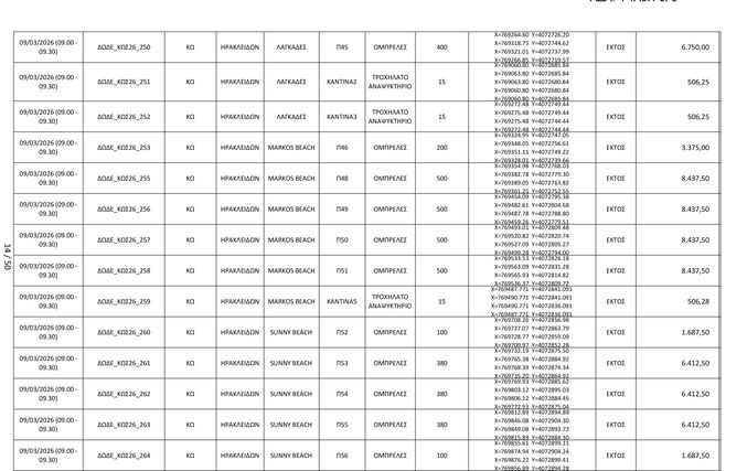
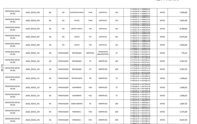
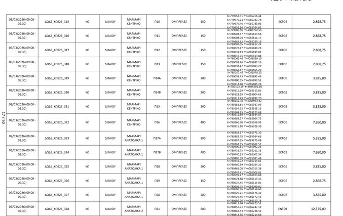
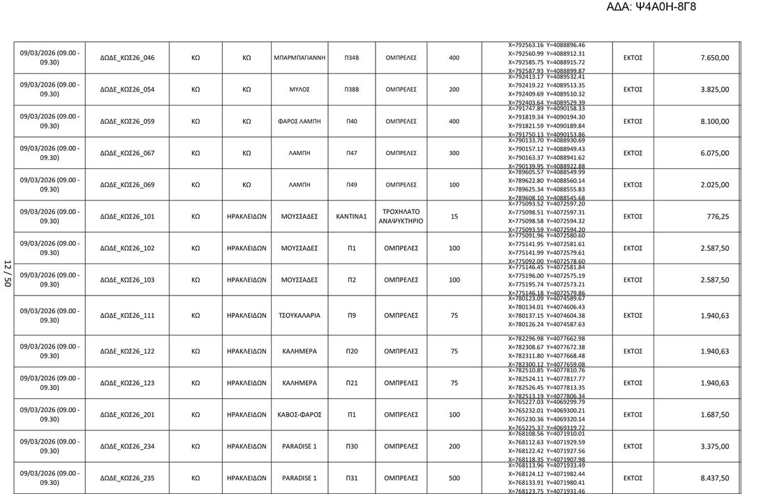
Ο διαγωνισμός έχει οριστεί για τις 9 Μαρτίου 2026 από τις 09:00 μέχρι τις 09:30 το πρωί, ενώ η προθεσμία υποβολής αιτήσεων συμμετοχής έληξε στις 24 Φεβρουαρίου. Η διαδικασία την ημέρα εκείνη, αναμένεται να είναι ταχύτατη, όπως άλλωστε φαίνεται και από το μικρό χρονικό περιθώριο που θα έχουν στην διάθεσή τους οι ενδιαφερόμενοι για να πλειοδοτήσουν. Οι ενδιαφερόμενοι θα καταθέσουν τις προσφορές τους για τα 118 τμήματα που έχουν μέχρι τώρα ανακοινωθεί και όποιος δώσει την υψηλότερη, θα εξασφαλίσει την παραλία για τα επόμενα τρία χρόνια.
Να σημειωθεί ότι διατηρείται το προτιμησιακό δικαίωμα για τις επιχειρήσεις (ξενοδοχεία, τουριστικά καταλύματα, καταστήματα υγειονομικού ενδιαφέροντος κ.α.) που γειτνιάζουν άμεσα με παραλίες. Οι επιχειρήσεις αυτές, έχουν δικαίωμα μέχρι τις 15 Μαρτίου, να καταθέσουν αίτηση (εφόσον θέλουν) και με τίμημα που προκύπτει από έναν περίπλοκο και πολυσύνθετο μαθηματικό τύπο (τον αναφέρουμε παρακάτω), να τους παραχωρηθεί η παραλία (χωρίς να προηγηθεί πλειστηριασμός). Εάν κάποια επιχείρηση δεν επιθυμεί να της παραχωρηθεί η παραλία που έχει δίπλα της (σπάνια περίπτωση), το κομμάτι αυτό θα βγει σε πλειστηριασμό σε επόμενη φάση.
Να προσθέσουμε εδώ, ότι υπάρχουν ακόμη τμήματα παραλιών που δεν έχουν συμπεριληφθεί στον πλειστηριασμό της 9ης Μαρτίου (όπως στο Ψαλίδι, στο Μαστιχάρι, στον Άγιο Φωκά, ακόμα και σε δημοφιλείς παραλίες της πόλης), καθώς εκκρεμεί σχετική έγκριση από την Αρχαιολογική Υπηρεσία, η οποία όμως αναμένεται να δοθεί μέσα στα επόμενα 24ωρα, οπότε και θα ακολουθήσει νέος διαγωνισμός (με νέα επταήμερη διορία για τα δικαιολογητικά) για τις παραλίες αυτές. Επίσης, το ίδιο αναμένεται να γίνει και με την παραχώρηση χώρου για θαλάσσια σπορ, καθώς δεν έχει ανακοινωθεί ακόμα ο διαγωνισμός για τις παραλίες αυτές.
Αν και σε αρκετές περιπτώσεις οι τιμές εκκίνησης δεν παρουσιάζουν μεγάλες αποκλίσεις σε σχέση με το προηγούμενο καθεστώς, υπάρχει μεγάλη ανησυχία και αβεβαιότητα για το που τελικά θα "κλείσει" η κάθε δημοπρασία. Μέχρι πρότινος, υπήρχε ενιαία τιμή για όλο το νησί, 10 ευρώ ανά τετραγωνικό μέτρο ετησίως, ανεξαρτήτως περιοχής. Πλέον, η τιμολόγηση διαφοροποιείται ανά τμήμα παραλίας και προκύπτει βάσει συγκεκριμένου και πολυσύνθετου μαθηματικού τύπου, ο οποίος είναι: αντικειμενική αξία όμορου ακινήτου Χ Συντελεστή Βαρύτητας Αιγιαλού Χ Συντελεστή Βαρύτητας Δραστηριότητας Χ έτη παραχώρησης Χ 3%.
Κάθε ενδιαφερόμενος, μπορεί να καταθέσει αίτηση για όσα “πόστα” θέλει, αρκεί να καταβάλει εγγυητική επιστολή που ισούται με το 10% από την τιμή εκκίνησης, ενώ θα πρέπει να αναφέρουμε, ότι παρά την "απαλλαγή" της εν λόγω αρμοδιότητας - δραστηριότητας από τους δήμους, το καθεστώς κατανομής των εσόδων παραμένει αμετάβλητο, καθώς από το συνολικό ποσό μίσθωσης, το 60% θα αποδίδεται στους Δήμους και το 40% στο Κράτος.
Το σίγουρο είναι, ότι η φετινή χρονιά θα είναι κομβική για το μέλλον των οργανωμένων παραλιών της Κω. Το ερώτημα που μένει να απαντηθεί, είναι αν το νέο πλαίσιο θα οδηγήσει σε περισσότερη διαφάνεια και εξορθολογισμό ή αν θα επιφέρει ανακατατάξεις που θα αλλάξουν ριζικά τον χάρτη της επιχειρηματικής δραστηριότητας στον αιγιαλό του νησιού.

Δ. ΚΟΥΤΣΟΓΙΩΡΓΗ: ΨΥΧΟΦΘΟΡΑ ΔΙΑΔΙΚΑΣΙΑ - ΦΟΒΟΜΑΣΤΕ ΟΤΙ ΘΑ ΧΑΣΟΥΜΕ ΤΙΣ ΠΑΡΑΛΙΕΣ ΜΑΣ
Την έντονη ανησυχία της για τις επικείμενες ηλεκτρονικές δημοπρασίες παραλιών, εξέφρασε η παραλιούχος στο Τιγκάκι κ. Διονυσία Κουτσογιώργη, περιγράφοντας το κλίμα ανασφάλειας που επικρατεί στους επαγγελματίες της περιοχής. Όπως ανέφερε, η οικογένειά της δραστηριοποιείται επί 40 χρόνια στην ίδια παραλία στο Τιγκάκι, έχοντας δημιουργήσει σταθερούς δεσμούς με επαναλαμβανόμενους πελάτες.
«Η μητέρα μου βρίσκεται στην ίδια παραλία εδώ και τέσσερις δεκαετίες. Έχουμε πελάτες 40 χρόνια. Είναι σαν το δεύτερο σπίτι μας. Είναι η ψυχοθεραπεία μας, οι φίλοι μας. Δεν είναι μόνο θέμα εισπράξεων.
Με το νέο σύστημα παραχώρησης, όλα αλλάζουν. Ο ηλεκτρονικός πλειστηριασμός θα πραγματοποιηθεί στις 9 Μαρτίου, ζωντανά μέσω διαδικτύου, με δυνατότητα συμμετοχής από οποιονδήποτε και από κάθε σημείο της Ελλάδας ή και του εξωτερικού. Με αυτόν τον τρόπο, μπορεί κάποιος από τη Μύκονο, την Αθήνα, τη Χαλκιδική ή οπουδήποτε αλλού, να μπει και να “χτυπήσει” την τιμή σε μια παραλία της Κω, σε υψηλή τιμή που δεν θα μπορούμε να κάνουμε αντιπρόταση, γιατί δεν θα βγαίνουμε για να επιβιώσουμε. Μέχρι 24/2, οι ενδιαφερόμενοι πρέπει να καταθέσουν τους φακέλους συμμετοχής, που περιλαμβάνουν μεταξύ άλλων εγγυητική επιστολή 10% επί της τιμής εκκίνησης για το συγκεκριμένο πόστο. Παράλληλα, η φορολογική ενημερότητα, αποτελεί πλέον υποχρεωτικό προαπαιτούμενο, κάτι που όπως σημειώνει δεν ίσχυε μέχρι πέρυσι και δυσκολεύει αρκετούς επαγγελματίες. Όταν οι πλειστηριασμοί γίνονταν στους δήμους, υπήρχε σεβασμός μεταξύ μας. Δεν “χτυπούσε” ο ένας το πόστο του άλλου και έτσι δεν ανέβαινε η τιμή. Είμαστε χρόνια φίλοι, γείτονες και συγγενείς. Τώρα ζούμε με τον φόβο ότι θα χάσουμε τις παραλίες μας.
Ανησυχία μας προκαλεί και η ίδια η διαδικασία της ηλεκτρονικής δημοπρασίας, η οποία σύμφωνα με ενημέρωση από νομικούς θα διαρκέσει μόλις μισή ώρα. Εάν εκείνη τη στιγμή υπάρξει διακοπή ρεύματος, πρόβλημα σύνδεσης ή οποιοδήποτε άλλο κώλυμα, δεν γνωρίζουμε αν θα χαθεί το δικαίωμα συμμετοχής μας και αν θα υπάρξει επανάληψη. Είναι μια πάρα πολύ ψυχοφθόρα διαδικασία. Δεν ξέρουμε τι θα γίνει για να μπορέσουμε να προχωρήσουμε στην αγορά νέου εξοπλισμού για το καλοκαίρι. Είμαστε ξεκρέμαστοι».
Γ. ΠΑΝΤΕΛΙΔΗΣ: ΑΒΕΒΑΙΟΤΗΤΑ ΚΑΙ ΠΙΕΣΗ ΧΡΟΝΟΥ
Τη σαφή δυσαρέσκειά του για τον νέο τρόπο με τον οποίο θα πραγματοποιηθούν φέτος οι πλειστηριασμοί παραλιών στην Κω εξέφρασε, ο παραλιούχος στο Τιγκάκι κ. Γιώργος Παντελίδης, ο οποίος δραστηριοποιείται επί δεκαετίες στο ίδιο σημείο.
«Πλέον τη διαδικασία έχει αναλάβει η Κτηματική Υπηρεσία και όλα γίνονται αποκλειστικά ηλεκτρονικά. Αυτή τη στιγμή ετοιμάζουμε τους φακέλους μας. Έχουμε μόλις επτά εργάσιμες ημέρες για να συγκεντρώσουμε όλα τα απαραίτητα δικαιολογητικά και να τα καταθέσουμε ηλεκτρονικά. Είναι πολύ περιορισμένος ο χρόνος και αφόρητα πιεστικός.
Ο πλειστηριασμός αναμένεται να πραγματοποιηθεί στις 9 Μαρτίου, επίσης αποκλειστικά μέσω ηλεκτρονικής πλατφόρμας. Ο καθένας μπορεί να διεκδικήσει οποιαδήποτε παραλία σε όλη την Ελλάδα. Αυτό δεν είναι προς συμφέρον μας.
Παρότι οι αρχικές τιμές εμφανίζονται ελαφρώς μειωμένες σε σχέση με το παρελθόν, μπορεί να εκτοξευθούν εάν υπάρξει μεγάλος ανταγωνισμός και να φτάσουν πολύ ψηλά, αν τις διεκδικήσουν πολλοί.
Πλέον απαιτείται και φορολογική ενημερότητα, κάτι που δεν ίσχυε όταν οι πλειστηριασμοί γίνονταν στους δήμους. Δεν είχαν όλοι τη δυνατότητα να την εξασφαλίσουν εγκαίρως και γίνονται προσπάθειες για να προλάβουν. Η αλλαγή του πλαισίου δημιουργεί ανασφάλεια σε επαγγελματίες που δραστηριοποιούνται για χρόνια στις ίδιες παραλίες. Η κατάσταση αυτή δεν είναι προς όφελός μας. Μας ανησυχεί και δεν ξέρουμε ποιο θα είναι το τελικό αποτέλεσμα».

Ξ. ΤΣΑΟΥΣΗΣ: ΝΕΑ ΔΕΔΟΜΕΝΑ – ΑΓΝΩΣΤΟ ΠΟΙΟΣ ΔΙΕΚΔΙΚΕΙ ΤΙ ΜΕ ΤΟΝ ΗΛΕΚΤΡΟΝΙΚΟ ΠΛΕΙΣΤΗΡΙΑΣΜΟ
Για τον νέο τρόπο με τον οποίο πραγματοποιούνται πλέον οι πλειστηριασμοί παραλιών σε όλη τη χώρα, μας μίλησε ο ξενοδόχος και επικεφαλής του ομίλου Diamond Hotels, κ. Ξενοφών Τσαούσης, επισημαίνοντας ότι το νέο σύστημα αλλάζει ριζικά τα δεδομένα για επιχειρήσεις και επαγγελματίες του τουρισμού.
«Με το νέο καθεστώς, όλα θα γίνονται ηλεκτρονικά, μέσω υπολογιστή, από οποιοδήποτε σημείο της χώρας και μάλιστα ανώνυμα. Η διαδικασία παλαιότερα απαιτούσε φυσική παρουσία των ενδιαφερομένων. Αυτό από μόνο του δημιουργούσε διαφορετικές συνθήκες και μια πιο άμεση εικόνα του ανταγωνισμού. Τώρα δεν θα γνωρίζεις ποιος είναι αυτός που διεκδικεί την ίδια παραλία με εσένα, ούτε αν έχει τη δυνατότητα να ανεβάσει σημαντικά το τίμημα. Ο ηλεκτρονικός πλειστηριασμός δίνει τη δυνατότητα εκμετάλλευσης της παραλίας για τρία χρόνια, κάτι που όπως εξήγησε δημιουργεί μια νέα επιχειρηματική πραγματικότητα. Κάθε αλλαγή απαιτεί χρόνο προσαρμογής. Δεν θα πούμε ότι η διαδικασία είναι χειρότερη. Είναι όμως πιο δύσκολη, τουλάχιστον μέχρι να τη συνηθίσουμε και μέχρι να συγχρονιστούν πλήρως όλες οι εμπλεκόμενες υπηρεσίες.
Οι ξενοδοχειακές μονάδες και οι επιχειρήσεις που διαθέτουν παραλία μπροστά από την πρόσοψή τους, διατηρούν προτιμησιακό δικαίωμα χρήσης και συμμετοχής στον πλειστηριασμό.
Ωστόσο, αυτό συνεπάγεται ότι η εκκίνηση γίνεται από υψηλότερη τιμή. Αν δεν ασκηθεί το προτιμησιακό δικαίωμα, τότε η παραλία βγαίνει σε γενικό πλειστηριασμό και μπορεί να τη διεκδικήσει οποιοσδήποτε.
Το βασικό ζήτημα που προκύπτει από τον ηλεκτρονικό διαγωνισμό δεν είναι μόνο η αλλαγή της διαδικασίας, αλλά η αβεβαιότητα ως προς το ποιος βρίσκεται απέναντί σου στον διαγωνισμό, ειδικά για όσους δεν έχουν το δικαίωμα της προτεραιότητας. Δεν ξέρεις ποιος διεκδικεί την παραλία που μέχρι πρότινος εκμεταλλευόσουν ή που σχεδιάζεις να αξιοποιήσεις και αυτό ενδέχεται να επηρεάσει σημαντικά τον προγραμματισμό των επιχειρήσεων.
Το νέο σύστημα, όπως φαίνεται, ανοίγει τον ανταγωνισμό σε πανελλαδικό επίπεδο, δημιουργώντας ευκαιρίες αλλά και προκλήσεις για τους επαγγελματίες του τουρισμού, ιδιαίτερα σε νησιωτικές περιοχές όπως η Κως, όπου η παραλιακή ζώνη αποτελεί βασικό πυλώνα της τουριστικής δραστηριότητας».
Α. ΣΠΕΡΜΠΗΣ: ΧΑΝΟΥΜΕ (ΟΙ ΚΩΟΙ) ΤΗ ΓΗ ΜΑΣ, ΤΗΝ ΠΕΡΙΟΥΣΙΑ ΜΑΣ
Ο κ. Αντώνης Σπέρμπης, παραλιούχος στην Κέφαλο, μας ενημέρωσε ότι παρά τις δυσκολίες, κατέθεσε τα απαραίτητα δικαιολογητικά, αφού μετέβη ο ίδιος στη Ρόδο για να μην χαθούν όπως είπε οι προθεσμίες.
«Είναι – είπε μία πρωτόγνωρη διαδικασία για εμάς τους παραλιούχους. Τόσα χρόνια ξέραμε την διαδικασία, πηγαίναμε στου Δήμους και καταθέταμε την αίτηση. Συνεννοούμασταν μεταξύ μας, ώστε ο κάθε ένας να έχει το πόστο του, δεν υπήρχαν “κονταροχτυπήματα” και έτσι οι τιμές έμεναν σε φυσιολογικά επίπεδα και μπορούσαμε να επιβιώσουμε. Τώρα με το νέο νόμο, δεν ξέρουμε που θα φτάσουν οι τιμές και αν θα μπορούμε να ανταγωνιστούμε επιχειρηματίες από άλλα μέρη με μεγάλη οικονομική επιφάνεια. Διατηρούσαμε χαμηλές τις τιμές ίσα ίσα για να βγαίνει ένα μεροκάματο και όχι να πλουτίσουμε. Τώρα που ίσως χάσουμε τις παραλίες μας και πάνε σε ξένα χέρια, δεν ξέρουμε που θα πάνε οι τιμές. Θα γίνουν απλησίαστες για τους κατοίκους και για τους τουρίστες. Θα είναι πλέον όνειρο απατηλό. Θα χάσουμε οι Κώοι την ευκαιρία να εκμεταλλευτούμε την γη μας και αυτό θα είναι πολύ κακό. Χάνουμε τα πάντα δυστυχώς, έρχονται ξένοι όμιλοι αγοράζουν ξενοδοχεία, σπίτια, τώρα οι ομπρέλες, χάνουμε την γη μας την περιουσία μας. Ούτε θα μπορεί πλέον να δίνονται οι παραλίες σε άτομα που έχριζαν οικονομικής βοήθειας όπως γινόταν. Αυτά να τα ξεχάσουμε. Τέρμα η κοινωνική πολιτική. Θα έρθουν να πάρουν τις παραλίες οι ξένοι και μετά εμείς θα γίνουμε υπάλληλοί τους. Η νέα διαδικασία είναι περίπλοκη. Αρκετοί συνάδελφοι δεν μπορούσαν να την κάνουν μόνοι και πήγαν σε δικηγόρο. Και ο χρόνος είναι πολύς λίγος.
Μας έδωσαν μόλις 7 εργάσιμες ημέρες προθεσμία για να καταθέσουμε τα απαραίτητα έγγραφα, που είναι περισσότερα σε σχέση με πριν. Επίσης θα πρέπει όχι μόνο να τα έχουμε φτιάξει, αλλά και να έχουν πάει στη Ρόδο μέσα σε αυτές τις 7 εργάσιμες ημέρες. Αν δηλαδή αργήσει ο κούριερ ή δεν έχει καράβι, τότε χάθηκε η συμμετοχή. Εγώ αναγκάστηκα και τα πήγα ο ίδιος στη Ρόδο τα δικαιολογητικά, ώστε να είμαι σίγουρος. Έπρεπε σίγουρα να παρθεί παράταση. Για παράδειγμα ο επιχειρηματίας της Νισύρου ή της Πάτμου, που δεν έχει συχνά δρομολόγια, τι θα κάνει; Δεν έχουν καταλάβει ότι είμαστε νησιά και έχουμε αυτά τα προβλήματα; Πρέπει ο κάθε νόμος που αποφασίζεται να λαμβάνει υπ΄οψιν του τις ιδιαιτερότητες του κάθε τόπου, ιδιαίτερα στα νησιά. Είδαμε ότι τα προηγούμενα χρόνια, στη Ρόδο, ήρθαν επιχειρηματίες από άλλες περιοχές και πήραν τις παραλίες, είναι λοιπόν πολύ πιθανό, οι εικόνες αυτές να επαναληφθούν και στο νησί μας, αλλά και στα υπόλοιπα νησιά».
Δ. ΔΡΟΣΟΣ: ΠΡΟΧΕΙΡΗ Η ΟΛΗ ΔΙΑΔΙΚΑΣΙΑ – ΚΙΝΔΥΝΟΣ ΝΑ ΧΑΘΕΙ Η ΠΡΟΘΕΣΜΙΑ ΣΥΜΜΕΤΟΧΗΣ ΑΡΚΕΤΩΝ ΕΝΔΙΑΦΕΡΟΜΕΝΩΝ
Ο Δικηγόρος κ. Δημήτρης Ν. Δρόσος, έχει αναλάβει όπως μας είπε αρκετούς παραλιούχους, ώστε να καταθέσει ηλεκτρονικά εκ μέρους τους την συμμετοχή τους στον διαγωνισμό, κάνοντας λόγο για μία πρόχειρη και προβληματική διαδικασία.
«Αρκετοί παραλιούχοι – είπε- επικοινώνησαν με το γραφείο μας για να τους βοηθήσουμε να συμμετέχουν στο νέο διαγωνισμό, έτσι όπως αυτός προέκυψε μετά την αλλαγή του νόμου. Θεωρώ ότι η διαδικασία είναι πρόχειρη και προβληματική και ελλοχεύει ο κίνδυνος να χαθεί η προθεσμία για ορισμένους, καθώς οι διαθέσιμες ημέρες που μας δόθηκαν από την ημερομηνία δημοσίευσης ήταν μόλις 7 εργάσιμες ημέρες και η διαδικασία λήγει την Τρίτη 24/2. Και μέσα σε αυτή την προθεσμία θα πρέπει τα έγγραφα να έχουν φτάσει στη Ρόδο. Δηλαδή δεν πιάνεται η ημερομηνία αποστολής με την κούριερ, αλλά η ημερομηνία παραλαβής από την Κτηματική Υπηρεσία στη Ρόδο. Και εάν κάτι δεν έχει γίνει σωστά, τότε δεν μένει ουσιαστικά χρόνος να το διορθώσεις. Είναι πολύ πιεσμένος ο χρόνος και έπρεπε να δοθεί σίγουρα μία παράταση. Ακόμα και για εμάς τους δικηγόρους είναι μία δύσκολη διαδικασία, καθώς είναι πρώτη φορά που την κάνουμε. Αλλά ακόμα και αν όλα πάνε καλά μέχρι εδώ, δεν ξέρουμε τι θα προκύψει την ημέρα του πλειστηριασμού στις 9 Μαρτίου. Η διαδικασία κρατάει από τις 9 το πρωί μέχρι τις 9:30, δηλαδή ελάχιστα λεπτά, όπου θα μπουν όλοι ταυτόχρονα και θα κάνουν τις προσφορές τους. Αν συμβεί κάτι, αν πέσει το σύστημα, ή αν έχουμε εμείς διακοπή ρεύματος ή κάποιο τεχνικό ζήτημα, τότε κινδυνεύεις να μείνεις εκτός πλειστηριασμού. Εκείνη την ώρα λοιπόν, θα ανοιχτούν οι προσφορές, και θα αναμετρηθούν οι συμμετέχοντες. Όποιος δώσει την μεγαλύτερη τιμή εκείνη την ώρα, θα πάρει και την παραλία. Όπως καταλαβαίνεται δεν μπορώ εκείνη την ώρα να εκπροσωπήσω όλους τους πελάτες μου, γι’ αυτό τους έχω πει και τους έχω δώσει οδηγίες, πώς μπορούν να κάνουν προσφορά και να συμμετέχουν. Ας ελπίσουμε ότι όλα θα πάνε καλά και ότι αν όχι τώρα, από την επόμενη φορά, θα γίνουν οι αλλαγές που πρέπει στην όλη διαδικασία».

Γ. ΣΕΓΡΑΙΔΟΣ: ΚΙΝΔΥΝΟΣ ΝΑ ΓΙΝΟΥΝ ΑΠΛΗΣΙΑΣΤΕΣ ΟΙ ΟΡΓΑΝΩΜΕΝEΣ ΠΑΡΑΛΙΕΣ ΓΙΑ ΤΟΥΣ ΚΩΟΥΣ
Ο Πρόεδρος του ΣΕΠΕΚΩ (Εστίαση) κ. Γιώργος Σεγραίδος εξέφρασε την ανησυχία του για το τι μπορεί να προκύψει από την εφαρμογή του νόμου, επισημαίνοντας ότι υπάρχει κίνδυνος οι παραλίες να φύγουν από τα χέρια των Κώων αλλά και να καταστούν απλησίαστες για τους κατοίκους της.
«Δυστυχώς – είπε- δεν μπήκε πουθενά το προνόμιο της εντοπιότητας, με αποτέλεσμα οι Κώοι παραλιούχοι να κινδυνεύουν μετά από τόσα χρόνια να χάσουν τις παραλίες τους. Υπάρχει μεγάλο επενδυτικό ενδιαφέρον για την Κω και είναι σίγουρο ότι επιχειρηματίες από άλλες περιοχές θα θελήσουν να πάρουν τις παραλίες μας. Θα είναι δύσκολο για τους Κώους παραλιούχους να τους ανταγωνιστούν οικονομικά. Εκτιμώ ότι φέτος θα έχουμε λιγότερες ομπρέλες, αλλά με πολύ μεγαλύτερη τιμή. Θα βάλουν λοιπόν περισσότερες ομπρέλες αλλά η τιμή θα είναι τόσο υψηλή που δεν θα μπορούν οι ντόπιοι πλέον να κάνουν μπάνιο σε οργανωμένες παραλίες. Τιμές που βλέπαμε σε Ρόδο και Μύκονο και μας ακουγόταν εξωπραγματικές, τώρα ίσως τις δούμε και στο νησί μας. Δεν ξέρουν τι θα κάνουν οι παραλιούχοι που τόσα χρόνια είχαν τις παραλίες αυτές και ήταν η περιουσία τους. Τις φρόντιζαν, είχαν χαμηλές και προσιτές τιμές. Τώρα όλα αυτά είναι πιθανόν να αποτελέσουν παρελθόν. Οι τιμές τα προηγούμενα χρόνια ήταν ενιαίες, ίδιες για όλα τα πόστα σε όλο το νησί, τώρα όμως, θα είναι διαφορετικές σε κάθε πόστο. Τόσα χρόνια οι δικοί μας παραλιούχοι είχαν τα δικά τους πόστα, δεν “χτυπιόντουσαν” μεταξύ τους, και οι τιμές κυμαίνοντας σε χαμηλά, φυσιολογικά επίπεδα. Τώρα όλα αυτά θα αλλάξουν. Εκτιμώ ότι τα πιο περιζήτητα πόστα θα "χτυπηθούν" και το ύψος ενοικίασης θα είναι πρωτόγνωρο. Ίσως να περισσέψουν κάποια άλλα πόστα, μικρής επισκεψιμότητας για τους Κώους».
Ν. ΠΛΑΤΕΛΛΑΣ: ΕΓΚΛΗΜΑ ΠΟΥ ΔΕΝ ΜΠΗΚΕ ΚΡΙΤΗΡΙΟ ΕΝΤΟΠΙΟΤΗΤΑΣ
Ο κ. Νεκτάριος Πλατέλλας, παραλιούχος στο Ψαλίδι, στο ίδιο πόστο εδώ και 30 χρόνια, εξέφρασε και αυτός την ανησυχία για το μέλλον των παραλιών του νησιού, που κινδυνεύουν να χαθούν από τα χέρια των Κώων, που τους είχαν όλα αυτά τα χρόνια.
«Δυστυχώς – είπε- σύντομα θα δούμε μία διαφορετική εικόνα στις παραλίες της Κω απ’ ότι ξέραμε μέχρι σήμερα. Το είδαμε να συμβαίνει και στη Ρόδο και σε άλλα νησιά. Θεωρώ ότι η μάχη θα δοθεί κυρίως στις παραλίες – φιλέτα, σε κεντρικά σημεία του νησιού. Εκεί πολύ δύσκολα οι Κώοι παραλιούχοι θα καταφέρουν να διατηρήσουν τα πόστα τους και να κονταροχτυπηθούν με τους μεγαλοεπιχειρηματίες. Εμείς δουλεύουμε για ένα μεροκάματο, πώς να τους ανταγωνιστούμε; Είναι έγκλημα που δεν μπήκε το κριτήριο της εντοπιότητας στο διαγωνισμό. Φοβάμαι ότι αν όχι από αυτή την φορά, από την επόμενη ελάχιστοι θα είναι οι Κώοι παραλιούχοι. Είχαμε τις παραλίες μας, ο καθένας ήξερε το πόστο του, υπήρχε συνεννόηση, συναδελφικότητα, τώρα αυτά χαθήκανε με τους ηλεκτρονικούς πλειστηριασμούς. Για το Ψαλίδι, όπου είμαι εγώ παραλιούχος εδώ και 30 χρόνια, δεν έχει βγει ακόμα σε διαγωνισμό η περιοχή, όπως και άλλες στο νησί και αναμένεται να γίνει τις επόμενες ημέρες. Εγώ δεν θέλω να δηλώσω συμμετοχή για άλλο πόστο, παρά μόνο για το δικό μου. Είμαι συναισθηματικά δεμένος με το χώρο τόσα χρόνια. Άλλοι παραλιούχοι, φοβούμενοι ότι θα χάσουν το πόστο που έχουν, ίσως δηλώσουν συμμετοχή και για άλλα πόστα, ώστε να μην μείνουν ξεκρέμαστοι. Μάλιστα απ’ ότι έμαθα, αρκετοί πλήρωσαν και έβαλαν και δικηγόρους, ώστε να μην κάνουν λάθη στην διαδικασία συμμετοχής, καθώς έχει αλλάξει και είναι λίγο πιο περίπλοκη σε σχέση με πριν».
Ακολουθούν οι παραλίες που θα βγουν σε πλειστηριασμό στις 9/3/26, μαζί με την αρχική τιμή εκκίνησης









